Keio University

The Beautiful World of "Integral Representation" and "Approximation"

Publish: August 09, 2018

Introduction   When we think of mathematics, we often imagine it as a discipline that seeks exact, rigorous values and finds beauty in them. However, the question of how to calculate these values is also a problem. But there are cases where it is not possible to calculate an exact value for some problem. This is where we use approximate values, and because they are approximations, the error from the true value must be evaluated. What I want to discuss here is that the world of mathematical ideas and beauty also extends to approximation and error evaluation using integral representations.  

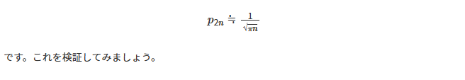
Pi   In elementary school, we find the value of pi (π) by measuring the circumference of a cylindrical tube, but this method does not yield high precision. In ancient Greece, an evaluation formula of some accuracy was obtained from the side lengths of regular polygons inscribed in and circumscribed about a circle. Furthermore, after the introduction of calculus, a fundamentally different approximation method, which I will describe, was developed.  

Image

Probability of Ruin   Person A's total assets are 100 yen. They will now play a game where they flip a coin. If it's heads, they win 100 yen; if it's tails, they lose 100 yen. The game ends if they lose all their assets. Let's find the probability of not losing all their assets.  

Image

Conclusion   The effectiveness of integral representation extends far beyond the examples above, appearing throughout modern mathematics. Moreover, calculations using (path) integral representations in mathematical physics are astonishing. On the other hand, it can also be applied to problems that appear in economic activities and daily life, such as the probability of ruin. However, integral representation is like an intermediate goal; it is necessary to understand both the mathematical formulation of the situation that precedes it and the subsequent handling of the mathematical expressions. This is what it means to learn mathematics.  

Gakumon no susume (An Encouragement of Learning) (Research Introduction)

Showing item 1 of 3.

Gakumon no susume (An Encouragement of Learning) (Research Introduction)

Showing item 1 of 3.