Participant Profile

Tatsuo Iguchi

Tatsuo Iguchi
What would you think if you were told, "Natural phenomena are described by equations"? When you watch the trees in a forest rustling in the wind or the waves breaking and splashing on the shore, you can see that their behavior is extremely complex in its details. It might be hard to believe at first that an equation could describe such complex motion. However, by discovering the fundamental principles underlying the phenomenon and expressing them in the language of mathematics, we can obtain an equation. Many of the equations that describe natural phenomena are differential equations.
To quantitatively predict phenomena, we must solve the resulting differential equations. However, the meaning of the word "solve" varies depending on the person or the problem setting, and carelessly saying you have "solved" something can lead to a disjointed discussion. The solutions to linear ordinary differential equations with constant coefficients, which are studied in the first year of the Faculty of Science and Technology, can be expressed using elementary functions learned up to high school, such as exponential and trigonometric functions. Obtaining such an expression is called solving it elementarily. When it comes to ordinary differential equations with variable coefficients, it becomes very rare for them to be solvable elementarily. For important differential equations that cannot be solved elementarily but often appear in physics, their solutions are sometimes defined as new functions. For example, for the Bessel differential equation
the Bessel function is defined as its solution. When ν is a natural number, this function is expressed as a power series as follows.
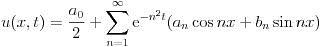
Such functions are called special functions, and when a solution can be expressed using elementary or special functions, the equation is said to have an exact solution. In the expression above, an infinite number of elementary functions are summed. This method is often used for linear equations, and the solution to the heat equation, which describes heat diffusion, is expressed as a Fourier series under certain specific problem settings, as follows.
Although there are several methods to obtain such expressions for solutions, the differential equations that can be "solved" in this sense are very few among all differential equations.
In engineering, what is needed are the numerical values of the solution. If an expression for the solution is available, these values can be obtained relatively easily, but even without an expression, the numerical values can be found approximately. This is done by discretizing the equation using methods such as the finite difference method, the finite element method, or the spectral method, and then performing numerical calculations on a computer to find a discrete numerical solution. Due to the dramatic improvement in computer performance, numerical analysis has played an important role in recent years. Finding such numerical solutions also falls into the category of "solving" an equation. However, it is not enough to simply run numerical simulations blindly. In numerical computation, the calculation may break down after a finite number of steps, and there are also computational methods that forcibly suppress such breakdowns. When that happens, it becomes questionable whether an approximate value of the true solution is being obtained. Does something that can be called a "true solution" even exist in the first place? The existence theorem for solutions answers this question, and mathematics plays a crucial role in proving it. Furthermore, by using abstract mathematical theories, it becomes possible to deduce the properties of the solution from the equation without using an expression for the solution, and also to discuss the accuracy of the approximate solution obtained by discretizing the equation. Proving such existence theorems and the behavior of solutions also falls into the category of "solving" an equation.
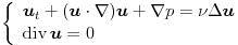
An important equation that has not been "solved" in this last sense is the Navier-Stokes equation.
This is the fundamental equation for incompressible viscous fluids like liquids, and it is believed to also describe turbulence. Since the mathematical research by Leray in 1934, it has been studied by many mathematicians, but it remains an open question whether its smooth solutions exist globally in time or if a blow-up phenomenon occurs, where the value of the solution diverges to infinity in finite time. To solve such open problems, new methods and new mathematics are being created every day.